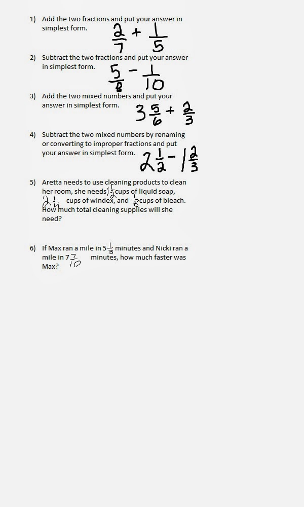
this is the quiz we took over adding and subtracting mixed numbers
This is my Math teacher blog made for Math Students, it will help you get better at fractions, decimals, rational numbers, exponents, linear equations, quadratic equations, and graphing. It covers anything in Middle School or Junior High Math and Algebra.It is the spot on the internet where I post all the notes we go over in class as well as tests and quizzes. There is also extra credit work which will help reinforce what we are going over in class.

No comments:
Post a Comment